Tháng Năm 14, 2026
công thức toán lớp 10 và lớp 11

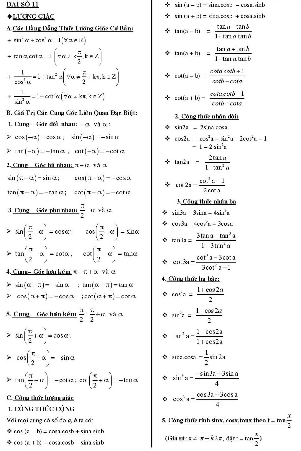
Công thức toán lớp 10 và lớp 11 bản đầy đủ

Công thức toán lớp 10 và lớp 11 bản đầy đủ (1)














Link: tải về